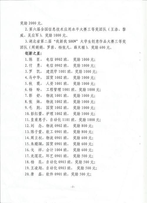
关于颁发2012年度创新奖的决定
校对: 责编: 终审: 时间:2013-10-31 阅读:

 

 

 

CopyRight © 中国·永利集团(304am-官方网站)有限公司-Official Platform 版权所有 地址:湖北省武汉市江夏区庙山经济开发区江夏大道16号  鄂ICP备11008201号-1  鄂公网安备 42011502000109号